透明导电氧化物薄膜被广泛应用于消费类电子产品的集成电路中,而其通过载流子浓度控制制造的近零介电常数(epsilon-near-zero, ENZ)版本更是由于其独特的线性与非线性光学性质成为片上集成光芯片设计中充满潜力的候选元件材料之一。作为简并半导体的一员,该类材料的光学与电学性质会受到温度的影响,而在大规模电光集成的终端产品应用中,工作时器件封装导致的系统升温是不可避免的。因此,近零介电常数条件下透明导电氧化物薄膜热光效应的研究具有重要意义。
1月26日,海角社区 李倩课题组联合瑞士洛桑联邦理工学院Camille-Sophie Brès课题组、清华大学付红岩课题组在国际权威综合性期刊Nature Communications(《自然-通讯》)上发表题为“Thermo-optic epsilon-near-zero effects”的研究论文(DOI: 10.1038/s41467-024-45054-z)。该研究通过精密巧妙的光学和热学设计,系统性地研究了在常见的晶体管结温度上限(一般< 100℃)之下,对于目前学界重点研究的三种红外通讯波段(O波段、C波段和2微米波段)对应的ENZ透明导电氧化物微纳薄膜材料的可恢复线性与非线性光学性质。研究发现,在ENZ条件下该材料的热光效应、色散和热光非线性都能表现出数量级的极大增强,是此前报道的一系列ENZ条件对其他光学性质增强的有力补充。该研究揭示了ENZ材料的新物理现象和机理,为ENZ集成光器件的设计提供了重要参考,也为ENZ非线性光学平台注入了新思路。
人们日常接触的光学材料通常具有大于1的折射率,然而ENZ材料在某些特定的频率区间可以具有小于1的相位折射率,并不违反狭义相对论。这种特殊性能够引起一系列“连锁反应”,导致该类材料其它的光学性质也发生相应的变化或者因此增强。由于电场在介质界面的连续性原理,电场在ENZ材料内部有着极大的增强。近年ENZ透明导电氧化物材料也被报道在红外区其克尔非线性有着一倍多的增强,启发了众多ENZ非线性光学的后续研究。另一方面,在微电子领域,透明导电氧化物薄膜已被广泛应用于制造透明电极,受益于此,使用相似工艺制造的微纳集成光芯片也能够搭载ENZ透明导电氧化物器件,实现纳米尺度下的非线性光与物质相互作用,在数据处理、红外光通信、新频率产生和新型光源方面具有广阔的应用前景。

图1. (a, b) 三个主流红外通信波段的ENZ氧化铟锡样品;(c) 椭偏仪测量下的样品产生线性与非线性热光效应的艺术化呈现;(d) 集成器件中的光操控和信息流处理示意图。
微电子领域,无论电集成芯片的性能如何印证乃至突破摩尔定律,其工作性能始终受到温度的影响和限制。商业化的微电子芯片产品一般只能正常工作在最高晶体管结温度之下,通常是95到105摄氏度。随着光芯片技术和电光集成技术的发展和成熟,复杂的光子片上系统(SoC)也将会面临这种限制。ENZ透明导电氧化物材料是一种简并半导体,其光学性质与电学性质有着强烈的关联。虽然学界普遍承认该材料对温度敏感,但现有研究仅仅局限于制造过程中的高温退火工艺对光学性质的不可逆影响,对最高晶体管结温度下的可逆过程尚未见报道。对此现象的研究将会为ENZ集成光芯片的设计产生前瞻性指导作用。

图2. 晶界势垒模型:低温热效应与高温退火对透明导电氧化物内部结构的不同影响
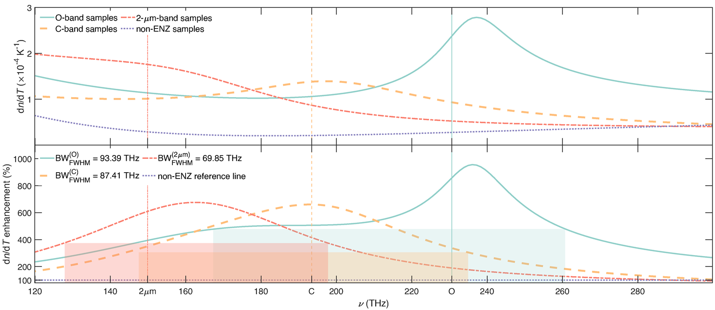
该工作通过使用经过精心设计高效率的、兼容椭圆偏振光谱仪的光芯片级热控平台与成熟的椭圆偏振光谱仪测量技术,辅以其他精密微电子和材料学表征手段,严谨对比了同工艺流程下的非ENZ同材料样品,发现在对应的ENZ频率范围内,近零的介电常数条件能够将传统的热光效应系数,也即单位温度变化导致的折射率变化量,增强660%~955%,接近一个数量级。该增强的半高全宽范围是以ENZ频率为中心的约70~93太赫兹的超宽谱带,为宽光谱、多波长的相关应用提供了可能。

图3. ENZ 条件对热光效应系数的超宽频增强
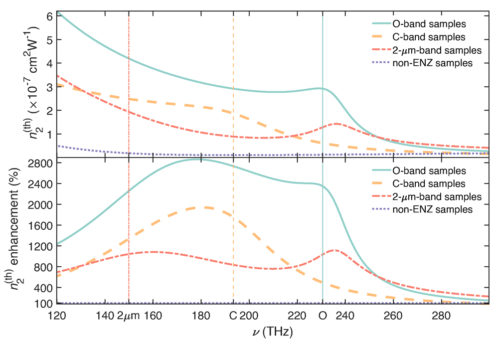
线性的热光效应能够在光和环境加热的影响下产生热光非线性效应,也即在温度的影响下折射率随光强变化,可以类比传统的克尔非线性效应。研究发现,ENZ条件通过影响热光效应和材料损耗,使得热光非线性系数有1113%~2866%的宽频增强,能够与不同原理导致的ENZ增强克尔非线性的报道相类比。在通常的光学材料中,基于材料的热响应(加热及散热速度),需要考虑热光非线性的时间阈值大约在皮秒(10-12秒)量级;而在ENZ材料中,由于热光增强的存在,该考虑阈值进入了“超快”领域,理论预测约为157~677飞秒(10-15秒),为非线性应用提供了新平台。此外,本研究还首次在实验上观察到李倩课题组于2020年理论预测的、发表在Nature index期刊Physical Review A上的ENZ材料的超高群速度色散(Phys. Rev. A 102, 053503, 2020.),其群速度色散比普通光学材料高了几个数量级。

图4. ENZ 条件对热光非线性的超宽频增强
海角社区 李倩副教授、瑞士洛桑联邦理工学院Camille-Sophie Brès副教授和瑞士洛桑联邦理工学院博士研究生吴嘉野(海角社区 硕士毕业生)为该论文共同通讯作者。吴嘉野为论文的第一作者。海角社区 张盛东教授、陆磊助理教授、清华大学付红岩副教授、瑞士洛桑联邦理工学院博士后研究员Marco Clementi博士、清华大学博士生黄晨星雨(海角社区 硕士毕业生)、海角社区 博士生叶峰也在工作中做出了重要贡献。上述研究得到了瑞士国家科学基金(SNSF)、广东省自然科学基金项目和清华大学深圳国际研究生院鹏瑞青年教师启航计划项目的支持。

图5. 两校团队成员
论文链接://doi.org/10.1038/s41467-024-45054-z
(供稿:李倩课题组)